Artículo original

eISSN 2007-5057

Investigación educ. médica vol. 3, no. 10, México abr/jun. 2014

Correlación entre la evaluación diagnóstica y el rendimiento académico de los estudiantes de medicina

Armando Muñoz-Comonfort,1 Iwin Leenen,2 Teresa Imelda Fortoul-van der Goes3

1 Coordinación de Ciencias Básicas, Facultad de Medicina, Universidad Nacional Autónoma de México, México D.F., México.

2 Departamento de Evaluación Educativa, Secretaría de Educación Médica, Facultad de Medicina, Universidad Nacional Autónoma de México, México D.F., México.

3 Coordinación de Ciencias Básicas, Departamento de Biología Celular y Tisular, Facultad de Medicina, Universidad Nacional Autónoma de México, México D.F., México.

Recepción 16 de octubre de 2013. Aceptación 6 de enero de 2014.

Resumen

Introducción: El rendimiento académico de los estudiantes está asociado con una gran variedad de factores, uno de ellos corresponde a los conocimientos previos de ingreso a la licenciatura de médico cirujano, por lo que, describir las calificaciones en los exámenes departamentales a partir de dichos conocimientos, en la fase inicial de la licenciatura, permitirá identificar aquellos en riesgo académico e implementar las medidas remediales pertinentes.

Objetivo: Determinar la relación entre los resultados en el examen diagnóstico y en los exámenes departamentales de las asignaturas de primer año en estudiantes de nuevo ingreso a la licenciatura de Médico Cirujano.

Método: Se realizó un estudio de correlación y comparación que incluyó los datos de un total de 6 590 estudiantes. En particular se calcularon correlaciones de forma separada para seis generaciones (2007 a 2012), para tres tipos de bachillerato de procedencia y para seis asignaturas del primer año entre, por un lado, el examen diagnóstico de conocimientos generales y por otro la calificación promedio de los exámenes departamentales.

Resultados: Se encontraron diferencias en los resultados de la evaluación diagnóstica entre estudiantes que provienen de los sistemas NO UNAM, ENP y CCH.

Los estudiantes que provienen del bachillerato NO UNAM presentaron correlaciones mayores en las seis asignaturas y seis ciclos escolares estudiados, con respecto a los estudiantes de la ENP y CCH. Por asignatura Bioquímica presentó los mayores valores de correlación: para estudiantes de la ENP varió entre 0.38 y 0.55, CCH entre 0.42 y 0.58 y NO UNAM entre 0.63 y 0.82: por otro lado Salud Pública presentó las correlaciones menores, la ENP entre 0.26 y 0.42, CCH entre 0.36 y 0.47 y NO UNAM entre 0.51 y 0.70

Conclusiones: Estos resultados muestran una correlación entre el promedio de los exámenes departamentales de las asignaturas de primer año y el examen diagnóstico de conocimientos generales, lo cual en una investigación futura se puede aprovechar para realizar predicciones y proponer medidas remediales tempranas para los estudiantes que puedan detectarse.

Palabras clave: Correlación; examen diagnóstico; rendimiento académico; México.

Correlation between diagnostic assessment and academic performance of medical students

Abstract

Introduction: Medical students academic evaluation has been associated with a variety of factors, specially with high school previous knowledge (diagnostic exam); for this reason the description of the midterms outcomes from their previous knowledge evaluation will provide information to detect those students at risk of academic failure, and to offer some remedial options according to their needs.

Objective: To identify the relationship between the diagnostic exam outcomes and the grades obtained in their midterm exams form the courses taken during the first year of medical school.

Method: A correlational and comparative study from 6 590 students obtained from a six batch of students (2007 to 2012). Correlations were calculated for each batch, three different high schools programs and for the average grades in midterms obtained in the six first-year regular courses.

Results: Differences in the diagnostic evaluation were found in the three different high school programs (NO UNAM, ENP and CCH). Those from NO UNAM had the highest correlation values in the six basic courses and in the six different batches of students contrasted with ENP and CCH. Biochemistry had the highest correlations for in the three high school programs: ENP (ranged from 0.38 to 0.55), CCH (0.42 to 0.58) and NO UNAM (0.63 to 0.82), whereas Public Health had the lowest correlations with ENP (0.26 and 0.42), CCH (0.36 to 0.47) and NO UNAM (0.51 and 0.70).

Conclusion: Our results exhibit a correlation within the average grades in the first-year midterms basic courses and the diagnostic exam, information that in further studies could be useful to predict the academic outcomes and to offer preventive options to support those students at risk of academic failure.

Keywords: Correlation; diagnostic tests; academic performance; Mexico.

Introducción

El perfil de ingreso para la licenciatura de Médico Cirujano de la Facultad de Medicina, Universidad Nacional Autónoma de México (UNAM), define una serie de valores, actitudes, habilidades, destrezas y conocimientos tales como: actitud humanista, científica, social y de servicio, disciplina, salud física y mental compatible con el estudio de la licenciatura, disponibilidad de tiempo necesario para el estudio, capacidad de trabajo durante periodos continuos bajo presión y conocimientos sólidos en Matemáticas, Biología, Física y Química, entre otras características. Se espera que los estudiantes con estos atributos egresen de la licenciatura y sean profesionales competentes.1

Sin embargo no todos logran el éxito académico esperado, algunos abandonan o no terminan en el tiempo establecido la carrera, o tienen bajo rendimiento académico. Varios trabajos en medicina, identifican diversos factores asociados con el rendimiento académico de los estudiantes, tales como: la presencia de violencia intrafamiliar, calificaciones bajas en Biología y en Bioquímica,2,3 problemas socioeconómicos, antecedentes académicos,4 proceder de escuelas estatales, carecer de hábitos y estrategias de estudio,5 la calificación de la prueba de selección al ingreso a medicina6 y los conocimientos previos al ingreso a ésta, estos últimos fuertemente relacionados con el rendimiento académico en los estudiantes.7-8

Los conocimientos previos de los estudiantes que ingresan a la licenciatura de Médico Cirujano de la UNAM, son evaluados con un examen diagnóstico, que se aplica al inicio del primer año de la carrera. Está constituido por tres partes, el examen de español, inglés y el examen general de conocimientos, éste último abarca 120 reactivos de opción múltiple divididos en ocho temas, Matemáticas, Física, Química, Biología, Geografía, Historia Universal, Historia de México y Literatura, (se incluye el promedio de los ocho temas). El examen diagnóstico lo realiza la Dirección General de Evaluación Educativa (DGEE)9 de la UNAM y se ha aplicado desde 1995. El examen diagnóstico, aparte de los objetivos que tiene definidos, no considera otras implicaciones más que determinar el orden en el cual se inscriben los estudiantes y seleccionan el grupo.

En el ciclo escolar 2009-2010 se inscribió la última generación del Plan Único de Estudios cuyo objetivo general fue la de formar médicos capaces de ejercer la práctica de la medicina general con los conocimientos, la calidad técnica, la ética profesional y el humanismo que requieren el cuidado y la promoción de la salud.10 A partir del ciclo escolar 2010-2011 inició la primera generación del Plan de Estudios 2010. El Plan 2010 de medicina está basado en un currículo mixto por asignaturas y pone énfasis en el enfoque por competencias.11 En el primer año del Plan 2010 se cursan ocho asignaturas contra seis que consideró el Plan Único (Tabla 1), las cuales son evaluadas a través de dos criterios, el juicio del profesor (el cual puede variar de profesor a profesor) y exámenes departamentales. Los departamentales son de opción múltiple, elaborados de forma colegiada por los profesores de cada una de las asignaturas y aplicados de forma simultánea, esto permite estandarizar la evaluación a todos los estudiantes y consecuentemente el rendimiento académico el cual es conceptualizado como la capacidad de respuesta que tiene un Individuo a estímulos, objetivos y propósitos educativos previamente establecidos (Jara 2008).5

 

 

Tabla 1. Asignaturas del Plan Único de Estudios y del Plan 2010 de primer año de la licenciatura de
Médico Cirujano de la Facultad de Medicina, UNAM.

 

 

Con respecto a los conocimientos previos con que ingresan los estudiantes a la licenciatura de Médico Cirujano y rendimiento académico, se han realizado varios estudios como el Gatica y cols.,12 quienes encontraron como variables de éxito académico, el bachillerato de procedencia y resultados > 61 en el examen diagnóstico de conocimientos generales. Guevara y cols.13 encontraron que el rendimiento escolar durante el primer año de la licenciatura de medicina depende de manera fundamental del bachillerato de procedencia, de las relaciones familiares y de los antecedentes académicos de los padres, así como de la carga académica que puede producir en algunos estudiantes crisis de ansiedad y depresión. Ponce de León y cols.14 señalan la importancia de los conocimientos previos con que ingresan los estudiantes, ya que una alta calificación en el examen diagnóstico de conocimientos generales (especialmente en la parte de matemáticas) es de buen pronóstico para el rendimiento académico de los estudiantes de la Facultad de Medicina, UNAM. Los estudios de estos autores ponen de manifiesto la importancia del bachillerato de procedencia y los conocimientos previos con que ingresan los estudiantes a medicina, para el éxito académico.

El objetivo del presente trabajo fue determinar la correlación entre el promedio de los exámenes departamentales de cada una de las seis asignaturas de primer año y el examen diagnóstico de conocimientos generales para seis generaciones de estudiantes de primer año de medicina con base al bachillerato de procedencia.

Método

Tipo de estudio

Estudio de correlación y comparación entre el promedio de los exámenes departamentales de las asignaturas del primer año de medicina contra el promedio del examen diagnóstico de conocimientos generales, por bachillerato de procedencia, asignatura y ciclo escolar.

Participantes

El estudio incluye los datos de 6 590 estudiantes que cumplieron las siguientes condiciones: (a) fueron admitidos al primer año de la licenciatura de Médico Cirujano de la Facultad de Medicina, UNAM, en uno de los seis ciclos escolares comprendidos entre 2006-2007 y 2011-2012; (b) fueron de nuevo ingreso, es decir, estudiantes que se inscribieron por primera vez a medicina y, (c) presentaron el examen diagnóstico de conocimientos generales. El 64% de los estudiantes eran mujeres y el 36% hombres. Respecto del bachillerato de procedencia se observó la siguiente distribución: 42% fueron de la Escuela Nacional Preparatoria (ENP), 35% del Colegio de Ciencias y Humanidades (CCH) ambos del bachillerato de la UNAM y 23% del sistema NO UNAM. La Tabla 2 provee información más detallada sobre la distribución de sexo y bachillerato de procedencia en los seis ciclos escolares.

 

 

Tabla 2. Número de estudiantes por bachillerato de procedencia, sexo y ciclo escolar.

 

 

Variables

El análisis en el presente estudio incluyó las siguientes variables observadas en cada estudiante:

1.El ciclo académico en el que inició la carrera.

2.El tipo de su escuela de procedencia: ENP, CCH o NO UNAM.

3.La calificación promedio de los ocho temas del examen diagnóstico de conocimientos generales.

4.La calificación promedio de los exámenes departamentales de cada una de las seis asignaturas que tienen el Plan Único y el Plan 2010 de estudios en común (para estandarizar el nombre de las asignaturas de ambos planes se incluye la columna de Nomenclatura en la Tabla 1).

Análisis estadístico

Como análisis preliminar, se compararon las medias aritméticas (y desviaciones estándar) de las calificaciones en el examen diagnóstico de conocimientos generales y las calificaciones del promedio de los exámenes departamentales de cada una de las seis asignaturas de primer año, en los tres tipos de bachillerato de procedencia.

Para el análisis principal se calculó el coeficiente de correlación de Pearson entre el promedio de las calificaciones de los exámenes departamentales y el promedio del examen diagnóstico, para cada combinación de un ciclo escolar, una asignatura y un tipo de bachillerato. Así se obtuvieron en total 6 x 6 x 3 = 108 correlaciones. Se buscaron patrones a partir de los promedios de estas correlaciones en determinados subgrupos, definidos por bachillerato de procedencia, ciclo escolar y asignatura. Para la comparación de las medias se usó ANOVA de un factor.

Resultados

Comparación de las calificaciones en el examen diagnóstico en los tres tipos de bachillerato de procedencia

La Figura 1 presenta las medias y desviación estándar de la calificación promedio en el examen diagnóstico por ciclo escolar y tipo de bachillerato de procedencia. Se observa en cada ciclo que los estudiantes de bachillerato no asociados con la UNAM tienen las mayores calificaciones, seguidos por los de ENP y CCH. Las diferencias por pares de medias entre los tres tipos de bachilleratos, en los seis ciclos escolares, resultaron estadísticamente significativas (a un nivel de α=0.05).

 

 

Figura 1. Calificación promedio del examen diagnóstico de conocimientos generales,
en los seis ciclos escolares estudiados (2006-2007 al 2011-2012) por bachillerato de procedencia
(las barras de dispersión representan la desviación estándar).

 

 

Comparación de las calificaciones en los promedios de los exámenes departamentales en los tres tipos de bachillerato de procedencia

La Figura 2 muestra la calificación de las seis asignaturas de primer año, se identifican dos bloques; el primero constituido por Anatomía, Embriología, Biología Celular y Bioquímica con medias, en lo general, menores a las asignaturas del segundo bloque, formado por Salud Pública y Salud Mental. Por bachillerato de procedencia, las medias de los estudiantes que provienen del CCH, fueron menores (p<0.05) con respecto a las medias de los que provienen de la ENP y del sistema NO UNAM, entre estos dos últimos bachilleratos, no hubo diferencia estadística entre las medias de las seis asignaturas (p>0.05).

 

 

Figura 2. Calificación promedio de los exámenes departamentales en los
seis ciclos escolares estudiados (2006-2007 al 2011-2012), por bachillerato
de procedencia (las barras de dispersión representan la desviación estándar).

 

 

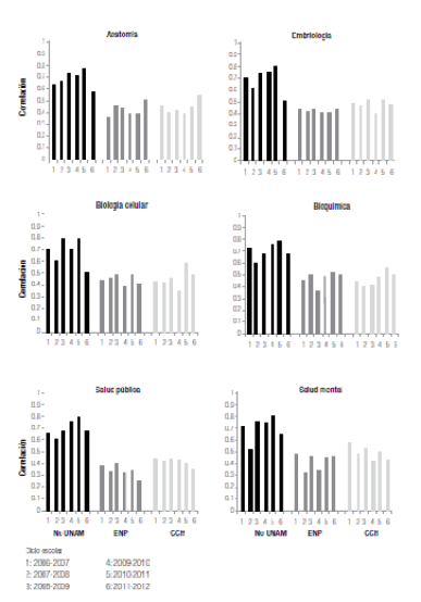
Correlaciones

La Figura 3 muestra las correlaciones entre el promedio de los exámenes departamentales contra el promedio del examen diagnóstico de conocimientos generales de seis ciclos escolares, para cada asignatura de primer año y por bachillerato de procedencia.

 

 

Figura 3. Correlación entre promedio de los exámenes departamentales y
el examen diagnóstico, en los seis ciclos escolares estudiados
(2006-2007 a 2011-2012), por bachillerato de procedencia.

 

 

Por bachillerato de procedencia, los estudiantes que provienen del sistema NO UNAM, presentaron de forma consistente durante los seis ciclos, en las seis asignaturas estudiadas, correlaciones mayores con respecto a los estudiantes de la ENP y CCH.

Con respecto a las asignaturas, los estudiantes de la ENP presentaron correlaciones máximas en la asignatura de Bioquímica (r=0.55), CCH en Anatomía (r=0.54) y NO UNAM en Bioquímica (r=0.82). La correlación mínima se observó para la ENP en la asignatura de Salud Pública (r=0.26) (Tabla 3). En Embriología los estudiantes de la ENP mostraron correlaciones de 0.4 de forma consistente durante los seis ciclos escolares (Figura 3).

En el ciclo escolar 2010-2011 se presentaron en cinco de seis asignaturas, los mayores valores de correlación y correspondieron a estudiantes NO UNAM. El ciclo escolar en que predominaron correlaciones menores fue el 2007-2008.

Con fines de comparación se muestran en la Figura 4 las gráficas de dispersión del promedio de los exámenes departamentales de Bioquímica y Salud Pública contra el examen diagnóstico, para dos ciclos escolares, 2007-2008 (Plan Único) y 2010-2011 (Plan 2010).

Con respecto a las calificaciones del examen diagnóstico en la asignatura de Bioquímica, 2007-2008 para los alumnos del CCH, los resultados estuvieron en el rango de 40 a 50 que se corresponden con calificaciones menores a seis del promedio de los exámenes departamentales, la ENP estuvo entre 40 y 80, que se correspondieron con calificaciones mayores a seis y al compararla con el ciclo escolar 2010-2011 se observa la diferencia en la dispersión de los puntos entre los dos ciclos escolares. Con respecto a los estudiantes del sistema NO UNAM, y para esta misma asignatura y ciclo escolar se observa un mayor rango en las calificaciones del examen diagnóstico que se corresponden en la misma magnitud con las calificaciones de Bioquímica (como dirían los Físicos, es una relación directamente proporcional) y aunque se observa una mayor dispersión de puntos alrededor de la recta, éstos tienden a concentrarse en la zona de calificaciones de entre 80 y 90. Un dato que refleja lo anterior es la varianza: para NO UNAM fue de 2.8 contra 1.3 de la ENP y de 1.0 del CCH.

Con respecto a Salud Pública -aplica también para Salud Mental- en los seis ciclos y en los tres tipos de bachillerato, la mayor parte de las calificaciones se ubican por arriba de seis independientemente de la calificación obtenida en el examen diagnóstico.

Discusión

El interés por conocer los factores que se asocian con el rendimiento académico, en particular los conocimientos previos de los estudiantes, ha sido motivo de varios estudios.2-8,12-16 En este contexto se usó el examen diagnóstico para determinar la correlación con el promedio de los exámenes departamentales de las seis asignaturas de primer año, durante seis ciclos escolares. Lo que se encontró fue que el examen diagnóstico de conocimientos generales correlacionó en grado diferente con las seis asignaturas de primer año y de forma definida con el bachillerato de procedencia. En este aspecto se identificaron dos bloques de asignaturas: Salud Pública y Salud Mental, en las cuales predominaron valores mayores a seis de calificación en el promedio de los exámenes departamentales aun con resultados bajos en el examen diagnóstico y el segundo bloque conformado por Anatomía, Biología Celular, Embriología y Bioquímica, asignaturas en las que el examen diagnóstico permitió identificar a los estudiantes con calificaciones bajas de los estudiantes con calificaciones altas en el promedio de los exámenes departamentales. Aunque no es motivo del presente estudio, se podría suponer que esta diferencia se debe al grado de dificultad de los exámenes de dichas asignaturas.

Por bachillerato de procedencia, los estudiantes que provienen de escuelas NO UNAM ingresan a medicina por un examen de selección en el que concursan y se aceptan los que obtienen las calificaciones más altas; sin embargo en los resultados del examen diagnóstico, el rango de calificaciones es más amplio, esto podría explicar los valores de correlaciones mayores con respecto a los estudiantes de la ENP y CCH.

Otro punto de interés es que al inicio del ciclo escolar se observó una marcada diferencia en la calificación del examen diagnóstico de conocimientos generales entre los estudiantes del sistema NO UNAM, ENP y CCH. Al final del curso cuando los estudiantes ya habían realizado todos los exámenes departamentales, la diferencia entre NO UNAM y ENP desaparece aunque persiste para el CCH, cuya calificación promedio en Anatomía, Biología Celular, Embriología y Bioquímica no alcanza el estándar de pase.

Con respecto al Plan Único de Estudios y Plan 2010, los resultados obtenidos fueron mixtos, es decir, una cohorte del Plan 2010 presentó resultados menores en las calificaciones del examen diagnóstico con respecto al Plan Único de Estudios y viceversa, en este aspecto no se observó una tendencia definida, sin embargo en ambos planes el examen diagnóstico aplica para describir la relación entre exámenes departamentales y el examen diagnóstico.

Los resultados del presente estudio apoyan los obtenidos por Gatica,12 Guevara13 y Ponce de León,14 quienes resaltan la importancia del bachillerato de procedencia y los conocimientos previos para el éxito académico durante el primer año de la carrera de médico cirujano.

Limitaciones del estudio

Las correlaciones aquí presentadas están basadas en las calificaciones del examen diagnóstico con base al bachillerato de procedencia y aunque fueron estadísticamente significativas, hay que tener presente los demás factores que también correlacionan con el rendimiento de los estudiantes en los exámenes departamentales. Los resultados obtenidos están acotados en las muestras estudiadas.

Se planea en una segunda fase del estudio incrementar el número de variables con el propósito de contar con un modelo que explique más ampliamente, el rendimiento académico de los estudiantes de medicina; estos datos se analizarán con modelos de regresión jerárquicos que nos permitirán identificar con mayor certeza a los estudiantes en situación de alto riesgo de fracaso escolar.

Conclusiones

De las seis generaciones estudiadas y a partir del examen diagnóstico se puede concluir lo siguiente:

El examen diagnóstico de conocimientos generales correlaciona con el promedio de los exámenes departamentales de seis asignaturas de primer año de la licenciatura de Médico Cirujano en seis ciclos escolares (2006-2007 a 2011-2012).

Los estudiantes del sistema NO UNAM presentaron correlaciones consistentemente mayores en las seis asignaturas de primer año durante los seis ciclos escolares estudiados con respecto a los estudiantes de la ENP Y CCH.

De las asignaturas, Bioquímica presentó las mayores correlaciones.

Existen diferencias significativas en los resultados de la evaluación diagnóstica entre los estudiantes del sistema NO UNAM, ENP y CCH, sin embargo después del último examen departamental, los resultados del promedio de los exámenes departamentales de las seis asignaturas, dichas diferencias desaparecen entre los estudiantes NO UNAM y ENP pero persisten en los del CCH.

Contribución de los autores

AMC, participó en el diseño del estudio, recolección, organización y análisis estadístico de los datos. Revisó la literatura y redactó el manuscrito.

IL, participó en el análisis estadístico de los datos, revisión del manuscrito y aportó comentarios para la versión final del documento.

TIFVDG, participó en el diseño del estudio, en el análisis estadístico de los datos, revisó la literatura, coordinó las actividades del estudio como de estructura y revisión del manuscrito.

Agradecimientos

Se agradece al actuario Gerardo López Alba de la Secretaría de Servicios Escolares de la Facultad de Medicina de la Universidad Nacional Autónoma de México por proporcionar las bases de datos.

Financiamiento

Ninguno.

Conflicto de intereses

Los autores declaran que no tienen conflicto de intereses.

Presentaciones previas

Reuniones de la Maestría en Ciencias Médicas, Odontológicas y de la Salud.

Referencias

1.Guía para los alumnos de primer ingreso 2013. Planes de estudio. Facultad de Medicina, Universidad Nacional Autónoma de México; 2013. p. 12-21.

2.Vélez A, Roa CN. Factores asociados al rendimiento académico en estudiantes de medicina. Edu Méd 2005; 8(2):74-82.

3.Sánchez MR, Miguel VC. Relación entre los conocimientos previos y el rendimiento en la asignatura bioquímica en estudiantes de medicina. RFM 2006;29(2):114-120.

4.Martínez-Pedroso C, Leiva-Cubeñas Y, Báez-Pérez E, et al. Factores relacionados con el rendimiento académico en la asignatura Morfofisiología Humana IV, del programa nacional de formación de medicina integral comunitaria. Rev Méd Elect 2011;33(2):211-218.

5.Jara D, Velarde H, Gordillo G, et al. Factores influyentes en el rendimiento académico de estudiantes del primer año de medicina. An Fac Med 2008;69(3):193-197.

6.Dorothy A, Jeffe D. Prematriculation variables associated with subotimal outcomes for the 1994-1999 cohort of U.S. medical-school matriculants. JAMA 2010;304(11):1212-1219.

7.Bastías S, Villarroel P, Zúñiga P, et al. Rendimiento académico de los estudiantes de medicina: ¿Un resultado predecible? Rev Méd Chile 2000;128(6):671-678.

8.Mills C, Heyworth J, Rosenwax L, et al. Factors associated with the academic success of first year Health Science students. Adv In Health Sci Educ 2009;14:205-217.

9.Valle R, Quesada-Castillo R. Exámenes para el diagnóstico de conocimientos. Dirección General de Evaluación Educativa, UNAM, 2009.

10.Consultado el 3 de octubre de 2013. http://www.facmed.unam.mx/plan/estructura.html

11.Consultado el 3 de octubre de 2013 http://www.facmed.unam.mx/marco/index.php?dir_ver=16

12.Gatica-Lara F, Méndez-Ramírez I, Sánchez-Mendiola M, et al. Variables asociadas al éxito académico en estudiantes de la licenciatura en Medicina de la UNAM. Rev Fac Med UNAM 2010;53(5):9-18.

13.Guevara-Guzmán R, Galván M, Muñoz-Comonfort A. El rendimiento académico de los estudiantes de la Facultad de Medicina en el primer año de la licenciatura. Gac Méd Méx 2007;143(1):27-32.

14.Ponce de León C MME, Ortiz-Montalvo A, Morán-Álvarez C. Valor predictivo del rendimiento académico del examen diagnóstico, aplicado a los alumnos de primer ingreso a la licenciatura de médico cirujano de la facultad de medicina de la UNAM. Rev Fac Med UNAM 2003;46(5):185-189.

15.Bitran CM, Lafuente GM, Zúñiga D, et al. ¿Influyen las características y los estilos de aprendizaje en el rendimiento académico de los estudiantes de medicina? Un estudio retrospectivo. Rev Méd Chile 2004;132:1127-1136.

16.García-Jiménez M, Alvarado-Izquierdo J, Jiménez-Blanco A. La predicción del rendimiento académico: Regresión lineal versus regresión logística. Psicothema 2000;12(2):248-252.

 

 

*Correspondencia:

Armando Muñoz Comonfort.

Coordinación de Ciencias Básicas,

Facultad de Medicina,

Edificio A tercer piso,

Universidad Nacional Autónoma de México,

Ciudad Universitaria, Coyoacán,

C.P. 04510, México D.F., México.

Teléfono: 55 5623 2255.

Correo electrónico:amcomonfort@unam.mx

 
 

ISSN 2007-5057 – see front matter © 2014 Facultad de Medicina Universidad Nacional Autónoma de México. Arte, diseño, composición tipográfica y proceso fotomecánico por Elsevier México. Todos los derechos reservados.