Artículo original

eISSN 2007-5057

Investigación educ. médica vol. 9, no. 35, México jul/sep. 2020

https://doi.org/10.22201/facmed.20075057e.2020.35.20204

Asociación del acoso psicológico con el desgaste profesional en médicos residentes de la Ciudad de México

Silvia A. Tafoyaa,†*, Aurora L. Jaimes-Medranoa,‡, José Antonio Carrasco-Rojasb,§, Maria Luisa Mújicac,þ, Ana C. Rodríguez-Machaina, , Silvia Ortiz-Leóna,

a Departamento de Psiquiatría y Salud Mental, Facultad de Medicina, Universidad Nacional Autónoma de México,Cd. Mx., México.

b Unidad de Cirugía, Comité de Ética, Hospital Ángeles del Pedregal, Cd. Mx., México.

c Coordinación de Formación Pedagógica, División de Estudios de Posgrado, Facultad de Medicina, UNAM, Cd. Mx, México.

ORCID ID:

https://orcid.org/0000-0001-6947-6822

https://orcid.org/0000-0002-0337-4468

§ https://orcid.org/0000-0002-9295-2310

þ https://orcid.org/0000-0001-7690-6587

https://orcid.org/0000-0003-4591-1003

https://orcid.org/0000-0001-5210-5291

Recibido: 11-julio-2019. Aceptado: 13-septiembre-2019.

Resumen

Introducción: El acoso psicológico en el entorno médico parece ser parte inherente de su entrenamiento, y sus repercusiones entre los residentes han sido desestimadas.

Objetivo: Evaluar la asociación del acoso psicológico y el desgaste profesional en médicos residentes de la Ciudad de México.

Método: Estudio transversal en el que participaron 251 residentes, 44% hombres y 56% mujeres, con edad promedio de 27.2 (DE ± 3.5) años. La evaluación se realizó siete meses después del inicio del año académico con el Inventario de Burnout de Psicólogos (IBP) adaptado a médicos, el Leymann Inventory of Psychological-Terrorization (LIPT-60) y un cuestionario de datos sociodemográficos.

Resultados: El desgaste profesional se explicó en un 23% por las variables de especialidad cursada, año de residencia y frecuencia del acoso psicológico (FEAP) (p < .0001); el género, la intensidad del acoso (IMAP) y el índice global de acoso (IGAP) no fueron significativos dentro de este modelo.

Conclusiones: La presencia de acoso tiene consecuencias en la salud mental (cansancio emocional), desempeño (falta de realización personal) de quien lo recibe, así como implicaciones en la relación médico-paciente (despersonalización). Se observa que la frecuencia con que se realiza el acoso es el principal elemento asociado al incremento de síntomas de desgaste profesional.

Palabras clave: Acoso psicológico; desgaste profesional; residentes; especialidades médicas.

Association Between Psychological Harassment and Burnout in Medical Residents in Mexico City

Abstract

Introduction: Psychological harassment in the medical setting seems to be an inherent part of their training and its repercussions among residents have been dismissed.

Objective: Evaluate the association between workplace harassment and burnout in medical residents in Mexico City.

Method: Cross-sectional study with 251 participants, 44% of who are men and 56% women, with an average age of 27.2 (SD±3.5) years. The evaluation was conducted seven months after the start of the academic year using the Inventario de Burnout de Psicólogos (IBP), Leymann Inventory of Psychological-Terror (LIPT-60), and a questionnaire on sociodemographic data.

Results: The burnout total was 23% explained by the specialty undertaken, year of residency, and Frequency of Psychological Harassment Experiences (FPHE); it was controlled by gender, Average Intensity of Psychological Harassment (AIPH), and the Global Index of Psychological Harassment (GIPH) (p < .0001).

Conclusions: The presence of harassment has consequences for health status (Emotional Exhaustion) and performance (Lack of Personal Accomplishment) for those who receive it, as well as implications for the patient-doctor relationship (Depersonalization). It was observed that the frequency of harassment experienced is the principal element associated with an increase in burnout symptoms.

Keywords: Psychological harassment; burnout; residents; medical specialties.

INTRODUCCIÓN

El desgaste profesional o burnout es considerado un síndrome en respuesta al estrés crónico en el trabajo que tiene connotaciones negativas para el individuo y la organización en la que se desempeña1. En los residentes médicos, cuyo papel es tanto de estudiante como de trabajador, la presencia de este síndrome es elevada. En Alemania se ha reportado una prevalencia de 21% en residentes, lo que se asoció con ideas suicidas2. En Estados Unidos, 34% de los residentes de medicina interna3, y 50% de residentes de diversas especialidades, presentaron dicho síndrome4. En este último estudio, la especialidad de ginecología y obstetricia fue la de mayor prevalencia, y se observaron como factores asociados ser de primer año, soltero y estar insatisfecho con la facultad4. En Latinoamérica, Colombia reporta prevalencias que van de 13%5 a 85%6. En México, la totalidad de una muestra de residentes de pediatría (n = 58) presentó síndrome de desgaste profesional: 27% en grado severo, 45% en moderado, y 28% en leve (p < .03); el grupo más afectado fue el de los residentes de 3o año, con los mayores niveles de cansancio emocional (p < .025) y despersonalización (p < .005)7. También en México, en residentes de primer año, la especialidad con mayor agotamiento emocional fue medicina interna y, tanto la presencia de desgaste profesional como el deterioro de la calidad de vida de los médicos residentes, se mantuvo durante todo ese ciclo8. Otro estudio señala que, en 116 médicos residentes mexicanos, a partir de los seis meses se incrementa la frecuencia de agotamiento emocional y, en general, las especialidades con mayor puntuación en la escala total de desgaste profesional fueron ginecología, medicina interna y pediatría9.

Los factores asociados al desgaste profesional podrían ser evaluados con relación a las características personales, así como a las condiciones de trabajo. Sin embargo, una revisión de la literatura señala que pocos factores demográficos se asocian con dicho desgaste en los médocos residentes, sino que los factores del contexto laboral como la carga de trabajo, el poco control sobre el tiempo, la pobre planeación y organización laboral, así como las situaciones de trabajo inherentemente difíciles y los conflictos interpersonales, son los factores mayormente asociados10. Respecto a las relaciones con el equipo de trabajo, se ha señalado que cuando el personal de salud valora útil su trabajo y lo percibe también valorado por los demás, se relaciona de forma inversa con la despersonalización y de forma directa con la realización personal11. Otro estudio en personal de salud señala que, aunque la sobrecarga asistencial es la principal causa de estrés, las quejas de falta de reconocimiento laboral y de promoción profesional también se constituyen como factores importantes12. En México se ha reportado, de acuerdo con la categorización de la autora, que los principales factores de estrés laboral en residentes de pediatría son: 1) factores físicos, que incluyen jornadas largas de trabajo (> 24 horas), tiempo inadecuado de descanso y de privación de sueño; 2) factores ambientales, en los que señalan falta de cordialidad, respeto o reconocimiento, así como maltrato emocional (humillaciones públicas); 3) factores organizacionales: instalaciones inadecuadas, carencia de material y equipo, deficientes sistemas de registro y de apoyo, burocratismo, baja remuneración; y 4) factores personales como edad, sexo, historia familiar y experiencia personal13.

De esta forma, se observa cómo los factores que contribuyen al desgaste profesional involucran a las condiciones de trabajo. De forma preocupante, dentro del ambiente médico la presencia de conductas de acoso psicológico parecen ser parte inherente de su formación14,15 y de sistemas que siguen una estructura jerárquica16. El acoso psicológico, que se ha definido como las conductas de abuso emocional, agresivas u hostiles ejercidas de manera consistente entre compañeros de trabajo o de los superiores hacia sus subordinados17; se constituyen como una forma de violencia en el trabajo18. Estudios a este respecto señalan que el personal que sufre acoso presenta más síntomas de desgaste profesional e incluso otros problemas de tipo mental más grave, que quienes no lo sufren16,19,20. Se ha observado una asociación entre el reporte de conductas agresivas contra la autorrealización y la comunicación, con la despersonalización y el cansancio emocional; así como también, asociación entre las conductas agresivas contra la persona o su estatus laboral, con el cansancio emocional y la realización personal21. Asimismo, se ha observado que el acoso psicológico (evaluado con la puntuación total del inventario de Leymann) ejercido sobre médicos residentes, se asoció con la despersonalización, el cansancio emocional y la realización personal22.

Aunque algunos estudios han vinculado las conductas de acoso psicológico con el desgaste profesional, es importante conocer su implicación en residentes médicos, dado que en la medida en que haya un mejor entendimiento del acoso psicológico (identificación y evaluación de sus consecuencias), se podrán realizar acciones para prevenir o enfrentar la situación. Por esta razón, el presente estudio pretende evaluar la asociación de las experiencias acoso psicológico sobre el desgaste profesional en médicos residentes de las especialidades troncales en la Ciudad de México.

MÉTODO

Participantes

Se invitó a participar a la población total de residentes de las especialidades de cirugía, medicina interna, ginecología y obstetricia, y pediatría, dependientes de la Facultad de Medicina de la UNAM, en la Ciudad de México. Debido a que, durante su formación, los residentes rotan por varios hospitales o servicios y sus periodos vacacionales, no son fijos, no se pudo acceder a su totalidad. Solo 260 residentes contestaron las encuestas, de estas se desecharon 9 por dejar más de 10% de las preguntas sin contestar en cualquiera de los instrumentos principales. Al final, se analizaron los datos de 251 médicos residentes (60% de la población total). Tres de las especialidades evaluadas se cursan en cuatro años (cirugía, medicina interna, y ginecología y obstetricia) y una de ellas en tres (pediatría), por lo que la proporción de residentes por especialidad y año fue diferente.

Instrumentos

Inventario de Burnout de Psicólogos (IBP)

Versión desarrollada por Moreno Jiménez23, basada en el Maslach Burnout Inventory, que evalúa el desgaste profesional. Esta se contesta con base en una escala Likert de 7 categorías de respuesta que van de 0 = nunca a 6 = todos los días y se conforma de tres dimensiones: cansancio emocional (9 reactivos), referente a la pérdida progresiva de energía, cansancio, desgaste, agotamiento, fatiga física o psicológica o ambas; despersonalización (8 reactivos), referente a actitudes negativas, irritabilidad, pérdida de motivación e incompetencia; y, realización personal (10 reactivos), que evalúa las respuestas positivas hacia sí mismo y el trabajo. La calificación de esta última escala se transformó a su puntación inversa “falta de realización personal” para que, junto con las otras dos escalas conformaran el desgaste profesional total. Los reactivos se adaptaron para médicos y, en la población de este estudio, la consistencia interna de la escala total evaluada mediante alfa de Cronbach, fue de α = 0.86, con valores por subescala de cansancio emocional α = 0.86, despersonalización α = 0.81 y falta de realización personal α = 0.8915. Dado que la subescala de realización personal ha sido reportada con un comportamiento diferente a las otras dos24-27, los análisis se realizaron con las subescalas de manera independiente y con la suma de las tres escalas (desgaste profesional total).

Leymann Inventory of Psychological-Terrorization (LIPT-60)

Escala modificada y adaptada al español 28, con 60 reactivos relativos a conductas de acoso psicológico que se contestan con base en una escala que va de 0 = la conducta no ha tenido lugar a 4 = conducta experimentada con mayor intensidad. Su calificación ofrece información de los tipos de acoso, así como de tres índices generales: Frecuencia de experiencias de acoso psicológico (FEAP), Intensidad media del acoso psicológico (IMAP) e Índice global del acoso psicológico (IGAP). Para este estudio se utilizaron únicamente los tres índices de acoso. La confiabilidad de la escala, previamente reportada en esta población de estudio, fue α Cronbach = 0.9615.

Procedimiento

Estudio transversal, aprobado por las comisiones de investigación y ética locales, el cual se deriva de una investigación enfocada a estudiar el acoso psicológico en los residentes médicos de las especialidades troncales. Información acerca de esta población ha sido reportada previamente15.

Las encuestas fueron contestadas en forma voluntaria y anónima, y se realizaron durante el mes de octubre (correspondiente al séptimo mes del ciclo académico) en aulas asignadas dentro de los hospitales. La aplicación fue de forma grupal, antes del inicio de jornada de trabajo, con el fin de evitar interferir con sus actividades académicas o de servicio. Los instrumentos utilizados fueron el LIPT, el IBP y el Inventario de Temperamento y Carácter (ITC). Para el presente estudio solo se utilizaron los datos del LIPT y del IBP.

Análisis estadístico

Para responder a los objetivos del estudio, primero se compararon las variables sociodemográficas, así como las dimensiones de acoso y desgaste profesional entre las especialidades: con Chi cuadrado, para variables categóricas y con ANOVA de una vía, con corrección de Bonferroni, para variables cuantitativas. Para el caso de la edad, esta se correlacionó con las escalas desgaste profesional, mediante la prueba de Pearson. Finalmente, para observar la asociación del desgaste profesional con el acoso, se realizaron regresiones lineales múltiples mediante el método Enter; las variables dependientes fueron el cansancio emocional, la despersonalización, la falta de realización personal y el desgaste profesional total, mientras que las variables independientes fueron los aspectos sociodemográficos que mostraron influencia sobre el desgaste profesional, así como los índices de acoso psicológico (FEAP, IMAP e IGAP). De los residuos de los modelos lineales se evalúo su normalidad (Kolmogorv-Smirnov), independencia (Durbin Watson), homocedasticidad y linealidad. La significancia estadística se determinó con un valor de p  .05 con pruebas de dos colas.

Consideraciones éticas

El presente estudio fue aprobado por las comisiones de investigación y ética locales. La participación de los estudiantes fue voluntaria y anónima, posterior a la firma del consentimiento informado, mediante el cual todos los participantes tuvieron conocimiento de la finalidad de la investigación.

RESULTADOS

Participaron residentes de 3 hospitales de las especialidades de cirugía, medicina interna, ginecología y obstetricia, así como pediatría. Su edad promedio fue de 27.3 (DE ± 3.5) años, 56% mujeres, en su mayoría solteros (86%), de nacionalidad mexicana (96%), y provenientes de universidades públicas (82%). Las características sociodemográficas y de las variables de estudio se muestran en la tabla 1.

 

 

Tabla 1. Características sociodemográficas, índices de acoso y
de desgaste profesional en la población de estudio

f

%

Sexo

Hombre

109

44

Mujer

141

56

Estado civil

Soltero

210

86

Casado

34

14

Nacionalidad

Mexicana

235

96

Extranjera

9

4

Hospital

1

70

28

2

11

45

3

68

27

Año académico

Primero

75

32

Segundo

68

29

Tercero

64

27

Cuarto

30

13

Especialidad

Cirugía

55

20

Medicina Interna

69

27

Ginecología y Obstetricia

77

31

Pediatría

50

20

M

DE

Edad

27.3

3.5

Desgaste profesional

Cansancio emocional

2.5

1.1

Despersonalización

2.0

0.9

Falta de realización personal

4.5

0.9

Total

5.5

2.4

Índices de acoso laboral

FEAP

15.7

12.0

IMAP

1.4

0.5

IGAP

0.4

0.4

 

FEAP: frecuencia de experiencias de acoso psicológico;
MAP: intensidad media del acoso psicológico; IGAP:
índice global del acoso psicológico.

 

 

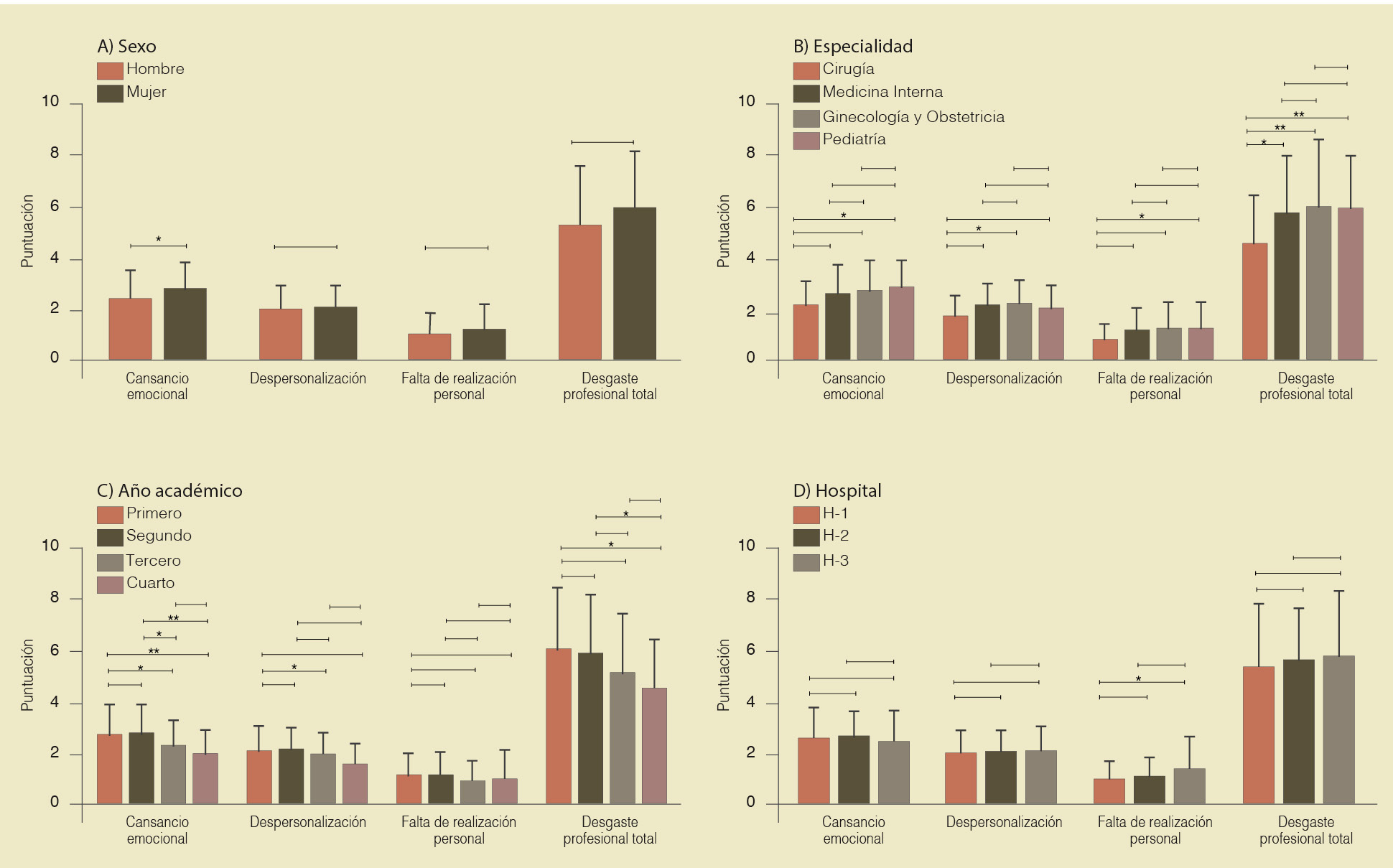
El análisis de las características sociodemográficas con el desgaste profesional mostró que, para el caso de la edad, esta no correlacionó con ninguna de las escalas de desgaste (tabla 2). En cuanto al sexo, pese a que en las mujeres hubo una tendencia a calificar más alto en todas las escalas, solo difirieron de los hombres en la escala de cansancio emocional (figura 1-A).

 

 

Tabla 2. Correlaciones de los índices de acoso con las dimensiones del desgaste profesional y con la edad

Cansancio emocional

Despersona-lización

Falta de realización personal

Desgaste profesional

Edad

–.03

–.07

.03

–.03

FEAP

.38**

.45**

.11

.41**

IMAP

.15*

.16*

–.04

.12

IGAP

.34**

.39**

.08

.36**

 

FEAP: frecuencia de experiencias de acoso psicológico, IMAP:
intensidad media del acoso psicológico, IGAP:
índice global del acoso psicológico.
* p  .05, ** p  .01

 

 

El análisis por especialidad mostró diferencias en todas las escalas: cansancio emocional, despersonalización, falta de realización personal y desgaste profesional total. Un análisis posterior con Bonferroni indicó que los residentes de cirugía fueron los que difirieron significativamente respecto a los de pediatría en cansancio emocional; con los de ginecología y obstetricia, tanto en despersonalización como en desgaste profesional total; y con los de medicina interna y los de pediatría en desgaste profesional total (figura 1-B).

Por año académico, las diferencias se observaron en la escala de cansancio emocional, con un análisis posterior que indicó diferencias al comparar primero vs cuarto, segundo vs cuarto, primero vs tercero, y segundo vs tercero. También se observaron diferencias en la escala de desgaste profesional total, en la que difirieron primero vs cuarto, y de segundo vs cuarto (figura 1-C).

La comparación por hospital no mostró diferencias en las escalas de cansancio emocional, despersonalización y desgaste profesional total (figura 1), pero sí en falta de realización personal, en la que el hospital 3 mostró puntuaciones más altas con respecto al hospital 2 y al hospital 1 (figura 1-D).

 

 

 

Figura 1. Comparación de las puntuaciones de las escalas de desgaste
profesionalpor sexo (A), especialidad (B), año académico (C) y hospital (D).
* p ≤ .05, ** p ≤ .01, *** p ≤ .001, § p ≤ .0001. 

 

 

De esta forma, las variables que mostraron influencia sobre las escalas de desgaste profesional se incluyeron en los modelos finales. Se encontró que el modelo de cansancio emocional explicó 20% de la varianza (p  .0001), las características que resultaron significativas fueron el año de residencia (tercero y cuarto vs primero), las especialidades de medicina interna y pediatría, así como la frecuencia del acoso (FEAP). Para el modelo de despersonalización, las variables que resultaron significativas fueron la especialidad de medicina interna, el año de residencia (tercero y cuarto vs primero) y el FEAP, este modelo fue significativo (p  .0001) y explicó el 20% de la varianza de la variable dependiente. Respecto a la falta de realización personal, se observó que las variables que resultaron significativas fueron la especialidad de ginecología y obstetricia (vs cirugía), el tercer año de residencia (vs primero), y la frecuencia del acoso. Este modelo fue significativo (p  .001) y explicó el 8% de la varianza ajustada (tabla 3).

 

 

Tabla 3. Modelos explicativos de los componentes del desgaste profesional

Coeficientes no estandarizados (B)

Error estándar

Coeficientes estandarizados (β)

t

p

Cansancio Emocional

Sexo (mujer)

0.04

0.14

0.02

0.29

.772

Especialidad médica (cirugía)

Medicina interna

0.42

0.20

0.17

2.12

.035

Ginecología y obstetricia

0.37

0.21

0.15

1.82

.070

Pediatría

0.54

0.23

0.19

2.40

.017

Año académico (primero)

Segundo

–0.12

0.18

–0.05

–0.70

.484

Tercero

–0.57

0.18

–0.23

–3.26

.001

Cuarto

–0.83

0.23

–0.24

–3.65

.0001

FEAP

0.03

0.02

0.40

2.11

.036

IMAP

–0.04

0.23

–0.02

–0.17

.862

IGAP

–0.14

0.62

–0.05

–0.22

.823

Despersonalización

Sexo (mujer)

-0.09

0.12

-0.05

-0.74

.460

Especialidad médica (cirugía)

Medicina interna

0.40

0.16

0.19

2.48

.014

Ginecología y obstetricia

0.31

0.17

0.16

1.86

.064

Pediatría

0.30

0.18

0.13

1.61

.108

Año académico (primero)

Segundo

–0.14

0.14

–0.07

–0.98

.330

Tercero

–0.20

0.14

–0.09

–1.38

.168

Cuarto

–0.58

0.18

–0.21

–1.13

.002

FEAP

0.04

0.01

0.51

2.75

.006

IMAP

–0.06

0.19

–0.03

–0.32

.749

IGAP

–0.21

0.50

–0.09

–0.41

.680

Falta de realización personal

Sexo (mujer)

0.13

0.11

0.08

–0.26

.261

Hospital (1)

2

0.04

0.13

0.02

0.76

.759

3

0.43

0.15

0.23

0.00

.004

Especialidad médica (cirugía)

Medicina interna

0.31

0.16

0.16

0.06

.058

Ginecología y obstetricia

0.34

0.16

0.19

0.04

.039

Pediatría

0.31

0.18

0.14

0.09

.093

Año académico (primero)

Segundo

–0.09

0.14

–0.05

–0.52

.520

Tercero

–0.32

0.14

–0.17

–0.02

.025

Cuarto

–0.28

0.18

–0.11

–0.13

.130

FEAP

–0.00

0.01

–0.02

–0.93

.932

IMAP

–0.42

0.19

–0.24

–0.02

.023

IGAP

0.33

0.50

0.16

–0.50

.504

 

FEAP: frecuencia de experiencias de acoso psicológico, IMAP: intensidad media del acoso
psicológico, IGAP: índice global del acoso psicológico.

 

 

En el modelo de desgaste profesional total, las variables que resultaron significativas fueron todas las especialidades, comparadas con cirugía; el segundo, tercer y cuarto año de residencia con respecto al primero; y la frecuencia del acoso (FEAP). Este modelo fue significativo (p  .0001) y explicó el 23% de la varianza ajustada (tabla 4).

 

 

Tabla 4. Modelo explicativo del desgaste profesional total

Coeficientes no estandarizados (B)

Error estándar

Coeficientes estandarizados (β)

t

p

Hospital (1)

2

0.58

0.34

0.12

1.74

.083

3

0.27

0.38

0.05

0.71

.476

Especialidad médica (cirugía)

Medicina interna

1.04

0.40

0.20

2.61

.010

Ginecología y obstetricia

1.17

0.40

0.23

2.90

.004

Pediatría

1.32

0.44

0.22

3.02

.003

Año académico (primero)

Segundo

–0.32

0.36

–0.06

–0.91

.366

Tercero

–1.09

0.36

–0.21

–3.03

.003

Cuarto

–1.56

0.47

–0.22

–3.32

.001

FEAP

0.08

0.04

0.40

2.15

.033

IMAP

–0.47

0.47

-0.10

–1.00

.317

IGAP

0.08

1.26

0.01

0.07

.948

 

FEAP: frecuencia de experiencias de acoso psicológico, IMAP: intensidad media del acoso
psicológico, IGAP: índice global del acoso psicológico.

 

 

DISCUSIÓN

El desgaste profesional es frecuente en los contextos laborales altamente demandantes, como lo es la residencia médica, que implica una actividad de tiempo completo con el desempeño de un doble rol: estudiante y trabajador. Los factores generalmente asociados al desgaste profesional son la carga laboral, el tiempo en el trabajo y enfrentar situaciones difíciles dentro de este. Sin embargo, dado que en el ambiente médico las conductas de acoso parecen presentarse con alta frecuencia, se buscó su asociación sobre la experiencia de desgaste profesional entre los residentes. Como hallazgo principal, este estudio observa que la especialidad, el año de residencia cursado y la frecuencia con la que ocurre el acoso, fueron los principales factores asociados a un alto desgaste profesional.

Se encontró asociación entre la frecuencia de acoso psicológico y el desgaste profesional total, así como con sus componentes; sin embargo, ni la intensidad del acoso ni su índice global (que conjunta tanto frecuencia como intensidad) se relacionaron de manera importante con las puntuaciones totales de desgaste profesional. En términos de violencia, se ha señalado que no siempre es la severidad lo que daña, sino la presencia sistemática16, lo cual podría explicarse a través del mecanismo de la carga alostática, en el que la presencia de enfermedad es el costo del ajuste continuo del organismo para adaptarse ante la presencia recurrente de factores estresantes29. Desafortunadamente, el maltrato en el trabajo, sobre todo en ciertos ámbitos (como el médico), se asume como normal e incluso inevitable, a tal grado que se considera parte de un contrato implícito, que tiene consecuencias importantes en las personas, los servicios y la organización30.

Respecto al sexo, se encontró inicialmente que las mujeres percibían mayor cansancio emocional que los hombres, sin embargo, al controlar por los tres índices de acoso, el año y la especialidad, este efecto se disolvió; este hallazgo corrobora resultados de estudios anteriores en los que no encuentra diferencia entre hombres y mujeres9,10. Por otro lado, se confirma que la especialidad sí se asocia a la presencia de desgaste profesional, en este estudio ginecología y obstetricia fue la que más se asoció, conforme a lo reportado en otros estudios4,9. Una explicación adicional a esta observación puede ser que esta especialidad presenta los mayores índices de acoso y el modelo explicativo probado en este estudio confirma su participación sobre el desgaste profesional, sobre todo con la frecuencia del acoso. De igual manera, pese a que no se observaron diferencias en los índices de acoso por año académico, este sí se asoció al desgaste profesional (el cuarto año mostró menor cansancio emocional y menor desgaste profesional total), similar a lo reportado en EE. UU.4, pero contrario a lo observado en residentes de pediatría de México, en quienes observaron que los de mayor grado (tercer año) estaban más estresados. Asimismo, dada la alta presencia de indicadores de desgaste profesional en el primer año, se confirma lo observado en otros estudios en México, en donde los mayores niveles de deserción se presentan principalmente en el primer año de residencia, y el 40% de ellos alude como principal razón la depresión y el agotamiento13. Finalmente, el hecho de que no haya diferencias por hospital en la presencia de desgaste profesional y que este no participe significativamente en su explicación, habla de que los factores contextuales no pueden ser atribuidos a las instituciones, sino a las características propias de la especialidad y al año académico, como la carga laboral que corresponde a cada uno de ellos, lo cual sería importante analizar en futuros estudios.

Entre las limitaciones de este estudio está su diseño transversal, que no permite establecer relaciones causales. Sin embargo, como fortaleza se destaca, incluir la participación de las principales residencias médicas (especialidades troncales) en todos sus niveles académicos, haber realizado la evaluación en forma anónima con instrumentos que permiten la comparación con otros estudios, además de ser válidos y confiables para esta población.

CONCLUSIONES

El desgaste profesional es un fenómeno que se presenta de forma frecuente en el personal médico y de salud, y para su desarrollo contribuyen muchos factores del ambiente laboral. En los residentes médicos, este depende de forma importante de las condiciones de trabajo (p. ej., alta demanda de los servicios) pero también contribuyen las relaciones entre el personal. Acorde a la literatura, este estudio confirma que los factores del contexto laboral (hospital, especialidad) así como los relativos al trato recibido por parte de los superiores o compañeros (acoso psicológico), se asocian con el desgaste profesional. Se destaca también la frecuencia del acoso como un factor que tiene mayor impacto negativo sobre la salud mental.

Es importante reconocer que el acoso psicológico no solo tiene consecuencias sobre la salud mental (cansancio emocional y falta de realización personal) y física de quien lo recibe, sino que sus implicaciones trascienden en la relación médico-paciente (despersonalización), lo que también deteriora la calidad del servicio. Identificar y corregir este tipo de prácticas puede beneficiar no solo la salud y calidad de vida de los residentes, sino mejorar su desempeño profesional.

CONTRIBUCIÓN INDIVIDUAL

SO, MLM, JAC, ALJ: Concepción y diseño.
SO, MLM, ALJ, SAT: Recolección de datos.
SAT: Análisis estadístico e interpretación de datos.
SAT, SO, ALJ, ACR: Redacción del manuscrito final.
SO, SAT, ALJ, ACR, JAC: Revisión Crítica del artículo.
JAC, SAT, SO: Aprobación final del manuscrito.

AGRADECIMIENTOS

Los autores desean reconocer la participación de los doctores: Carmen Cedillo Pérez, Rita Valenzuela Romero, Carlos Viveros Contreras y Jorge Alberto del Castillo Medina, en el desarrollo logístico de la presente investigación.

PRESENTACIONES PREVIAS

Ninguna.

FINANCIAMIENTO

Ninguno.

CONFLICTO DE INTERESES

Ninguno.

REFERENCIAS

1.Mingote-Adán JC, Moreno-Jiménez B, Herrer-Gálvez M. Desgaste profesional y salud de los profesionales médicos: revisión y propuestas de prevención. Med Clin. 2004;123(7):265-70.

2.van der Heijden F, Dillingh G, Bakker A, Prins J. Suicidal thoughts among medical residents with burnout. Arch Suicide Res. 2008;12(4):344-6.

3.Ripp J, Fallar R, Babyatsky M, David R, Reich L, Korenstein D. Prevalence of resident burnout at the start of training. Teach Learn Med. 2010;22(3):172-5.

4.Martini S, Arfken CL, Churchill A, Balon R. Burnout comparison among residents in different in medical specialties. Acad Psychiatry. 2004;28(3):240-2.

5.Paredes OL, Sanabria-Ferrand PA. Prevalencia del síndrome de burnout en residentes de especialidades médico-quirúrgicas, su relación con el bienestar psicológico y con variables sociodemográficas y laborales. Revista Med. 2008;16(1):25-32.

6.Guevara CA, Henao DP, Herrera JA. Síndrome de desgaste profesional en médicos internos y residentes. Hospital Universitario del Valle, Cali, ٢٠٠٢. Colomb Med. 2004;35(4):173-8.

7.Álvarez-Hernández G, Medécigo-Vite S, Ibarra-García C. Prevalencia del síndrome de desgaste profesional en médicos residentes de un hospital pediátrico en el Estado de Sonora. Bol Med Hosp Infant Mex. 2010;67(1):44-51.

8.Prieto-Miranda SE, Rodríguez-Gallardo GB, Jiménez-Bernardino CA, Guerrero-Quintero LG. Desgaste profesional y calidad de vida en médicos residentes. Rev Med Inst Mex Seguro Soc. 2013;51(5):574-9.

9.Terrones-Rodríguez JF, Cisneros-Pérez V, de Jesús Arreola-Rochab J. Síndrome de burnout en médicos residentes del Hospital General de Durango, México. Rev Med Inst Mex Seguro Soc. 2016;54(2):242-8.

10.Thomas NK. Resident burnout. JAMA. 2004;292(23):2880-9.

11.Grau A, Suñer R, García MM. Desgaste profesional en el personal sanitario y su relación con los factores personales y ambientales. Gac Sanit. 2005;19(6):463-70.

12.Martín MC, Fernández FB, Gómez RN, Martínez FC. Prevalencia y factores asociados al burnout en un área de salud. Aten Primaria. 2001;27(5):313-7.

13.Richardson-López V. Y a nuestros residentes ¿quién los cuida? Bol Med Hosp Infant Mex. 2006;63(3):155-7.

14.Rautio A, Sunnari V, Nuutinen M, Laitala M. Mistreatment of university students most common during medical studies. BMC Med Educ. 2005;5(1):36.

15.Ortiz-León S, Jaimes-Medrano AL, Tafoya SA, Mujica-Amaya ML, Olmedo-Canchola VH, Carrasco-Rojas JA. Experiencias de maltrato y hostigamiento en médicos residentes. Cir Cir. 2014;82:290-301.

16.Mayhew C, Chappell D. Workplace violence: an overview of patterns of risk and the emotional/stress consequences on targets. Int J Law Psychiatry. 2007;30(4-5):327-39.

17.Leymann H. The content and development of mobbing at work. Eur J Work Organ Psychol. 1996;5(2):165-84.

18.Peralta MC. El acoso laboral-mobbing-perspectiva psicológica. Rev Estud Soc. 2004;18:111-22.

19.Sa L, Fleming M. Bullying, burnout, and mental health amongst Portuguese nurses. Issues Ment Health Nurs. 2008;29(4):411-26.

20.García-Izquierdo M, Llor B, García-Izquierdo A, Ruiz J. Bienestar psicológico y mobbing en una muestra de profesionales de los sectores educativo y sanitario. Rev Psicol Trab Organ. 2006;22:381-95.

21.Gül H, İnce M, Özcan N. The relationship between workplace mobbing and burnout among academics at a Turkish university. Res J Intl Stud. 2011;18(1):118-34.

22.Dikmetas E, Mehmet T, Ergin G. An examination of mobbing and burnout of residents. Turk Psikiyatri Derg. 2011;22(3):137-49.

23.Moreno-Jiménez B, Meda-Lara RM, Morante-Benadero ME, Rodríguez-Muñoz A, Palomera-Chávez A. Validez factorial del inventario de burnout de psicólogos en una muestra de psicólogos mexicanos. Rev Latinoam Psicol. 2006;38(3):445-56.

24.Maslach C, Jackson SE, Leiter MP. Maslach burnout inventory manual. Mountain View, CA: CPP. Inc, and Davies-Black 1996.

25.Chaput B, Bertheuil N, Jacques J, Smilevitch D, Bekara F, Soler P, Garrido I, Herlin C, Grolleau JL. Professional Burnout Among Plastic cirugía Residents: Can it be Prevented? Outcomes of a National Survey. Ann Plast Surg. 2015;75(1):2-8.

26.Streu R, Hansen J, Abrahamse P, Alderman AK. Professional burnout among US plastic surgeons: results of a national survey. Ann Plast Surg. 2014;72(3):346-50.

27.Blanchard P, Truchot D, Albiges-Sauvin L, Dewas S, Pointreau Y, Rodrigues M, Xhaard A, Loriot Y, Giraud P, Soria JC et al. Prevalence and causes of burnout amongst oncology residents: a comprehensive nationwide cross-sectional study. Eur J Cancer. 2010;46(15):2708-15.

28.González de Rivera Revuelta JL, Rodriguez Abuín MJ. Cuestionario de estrategias de acoso psicológico: el LIPT-60 (Leymann Inventory of Psychological Terrorization) en versión española. Psiquis. 2003;24(2):59-69.

29.McEwen BS. Central effects of stress hormones in health and disease: Understanding the protective and damaging effects of stress and stress mediators. Eur J Pharmacol. 2008;583(2-3):174-85.

30.Porto Serantes N, Araña Suárez M. Myths about workplace violence, harassment and bullying. Int J Sociol Law. 2006;34(4):229-38.

 

*Autor para correspondencia: Silvia Ortiz-León; Departamento de Psiquiatría y Salud Mental.
Circuito Exterior, Edificio “F”, Facultad de Medicina-UNAM. Cd. Mx., México. C.P. 04510.
Fax: 56162475 E-mail: dra_silviaortiz@yahoo.com.mx

 

La revisión por pares es responsabilidad de la Universidad Nacional Autónoma de México. 2007-5057/© 2020

Universidad Nacional Autónoma de México, Facultad de Medicina.

Este es un artículo Open Access bajo la licencia CC BY-NC-ND (http://creativecommons.org/licenses/by-nc-nd/4.0/).